Сравнительная оценка антиоксидантных свойств и цитотоксической активности 2,2-дизамещенных 1,3-диоксолановых производных имидазола
https://doi.org/10.33380/2305-2066-2023-12-4(1)-1655
Аннотация
Введение. Современная химиотерапия широко рассматривает роль активных форм кислорода (АФК) в лечении онкологических заболеваний. Использование средств, вызывающих повышение АФК является актуальным способом уничтожения опухолей. При этом имеются данные о возможности некоторых антиоксидантов приводить к гибели раковых клеток путем генерации свободнорадикальных форм кислорода вследствие нарушения клеточного гомеостаза. Использованная в исследовании комбинация методики применения биосенсора «Эколюм», данных антирадикальной активности и сведений о цитотоксичности соединений позволяет последовательно провести бюджетный скрининг антиоксидантной и антирадикальной активности и потенциально снизить необходимое количество дорогостоящих определений цитотоксичности с использованием опухолевых клеток.
Цель. Целью приведенного исследования является антиоксидантных свойств и цитотоксической активности 1,3-диоксолановых производных имидазола с использованием антиоксидантного, антирадикального и цитотоксического тестов in vitro.
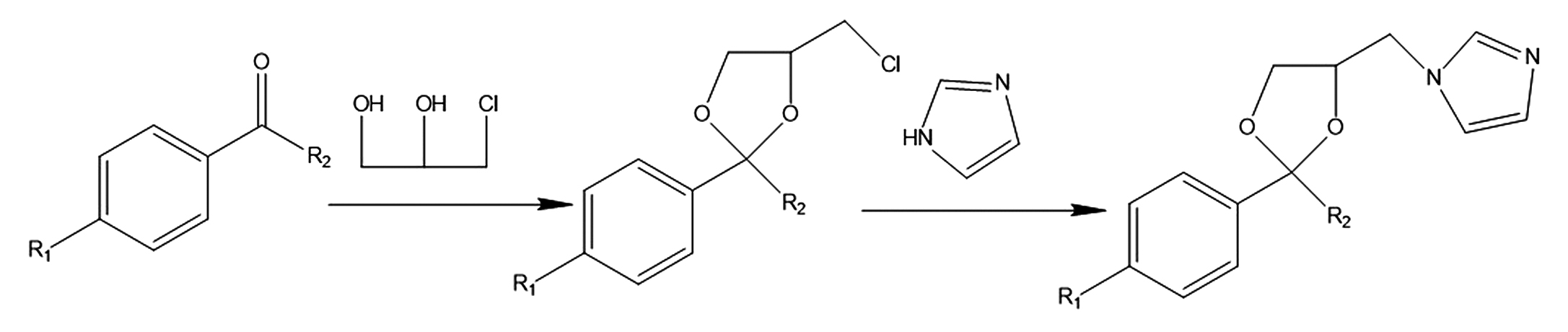
Материалы и методы. Для проведения тестов были синтезированы 1,3-диоксолановые производные имидазола. Оценка антирадикальной проводилась посредством теста ДФПГ (2,2-дифенил-1-пикрилгидразил). Тестирование антиоксидантной активности проводилось с применением биосенсора «Эколюм» в рамках модели окислительного стресса. Цитотоксическая активность исследовалась на культуре клеток GIST-T1 при помощи MTT-теста (3-(4,5-диметилтиазол-2-ил)-2,5-дифенил-тетразолиум бромид).
Результаты и обсуждение. Данные исследования антиоксидантной активности веществ с применением биосенсора «Эколюм» показали различную степень повреждения биосенсора при отсутствии антиоксидантного действия. В то же время, антирадикальный потенциал, изначально используемый для раскрытия возможного механизма антиоксидантного действия, фактически продемонстрировал возможный механизм токсического действия вещества 2с, поскольку оно, имея сравнимое с эталоном (тролокс) антирадикальное действие, обладает наиболее выраженной цитотоксичностью. Тем не менее, свойства вещества 2a показывают, что прямая корреляция, рассмотренная ранее, обнаруживается не во всех случаях.
Заключение. Исследование антиоксидантных свойств и цитотоксической активности 1,3-диоксолановых производных имидазола продемонстрировало актуальность дальнейшего поиска связей между результатами взаимодействия веществ с биосенсором «Эколюм» в условиях окислительного стресса, их антирадикальным потенциалом и цитотоксическими свойствами. Приведенная комбинация тестов потенциально позволит снизить стоимость скрининга, за счет применения доступного биосенсора, установить возможный механизм действия, направленный на окислительно-восстановительный баланс и подтвердить ранее полученные данные путем применения культуры опухолевых клеток.
Об авторах
С. С. ЗыковаРоссия
614990, г. Пермь, ул. Полевая, д. 2
М. В. Шустов
Россия
614990, г. Пермь, ул. Полевая, д. 2
В. С. Талисманов
Россия
141701, Московская облаcть, г. Долгопрудный, Институтский пер., д. 9
Список литературы
1. Sahoo B. M., Banik B. K., Borah P., Jain A. Reactive Oxygen Species (ROS): Key Components in Cancer Therapies. Anticancer Agents Med Chem. 2022;22(2):215–222. DOI: 10.2174/1871520621666210608095512.
2. Nakamura H., Takada K. Reactive oxygen species in cancer: Current findings and future directions. Cancer Sci. 2021; 112(10):3945–3952. DOI: 10.1111/cas.15068.
3. Perillo B., Di Donato M., Pezone A., Di Zazzo E., Giovannelli P., Galasso G, Castoria G, Migliaccio A. ROS in cancer therapy: the bright side of the moon. Exp Mol Med. 2020;52(2):192–203. DOI: 10.1038/s12276-020-0384-2.
4. Вострикова С. М., Гринев А. Б., Гогвадзе В. Г. Активные формы кислорода и антиоксиданты в канцерогенезе и терапии опухолей. Биохимия. 2020;85(10):1474–1488.
5. Cheung E. C., Vousden K. H. The role of ROS in tumour development and progression. Nat Rev Cancer. 2022;22(5):280–297. DOI: 10.1038/s41568-021-00435-0.
6. Iman M., Taheri M., Bahari Z. The anti-cancer properties of neem (Azadirachta indica) through its antioxidant activity in the liver: its pharmaceutics and toxic dosage forms. A literature review. J Complement Integr Med. 2021;19(2):203–211. DOI: 10.1515/jcim-2021-0009.
7. Slika H., Mansour H., Wehbe N., Nasser S. A., Iratni R., Nasrallah G., Shaito A., Ghaddar T., Kobeissy F., Eid A. H. Therapeutic potential of flavonoids in cancer: ROS-mediated mechanisms. Biomed Pharmacother. 2022;146:112442. DOI: 10.1016/j.biopha.2021.112442.
8. Hazafa A., Rehman K. U., Jahan N., Jabeen Z. The Role of Polyphenol (Flavonoids) Compounds in the Treatment of Cancer Cells. Nutr Cancer. 2020;72(3):386–397. DOI: 10.1080/01635581.2019.1637006.
9. Tang S. M., Deng X. T., Zhou J., Li Q. P., Ge X. X., Miao L. Pharmacological basis and new insights of quercetin action in respect to its anti-cancer effects. Biomed Pharmacother. 2020;121:109604. DOI: 10.1016/j.biopha.2019.109604.
10. Munteanu, I. G., Apetrei C. Analytical Methods Used in Determining Antioxidant Activity: A Review. Int. J. Mol. Sci. 2021;22:3380. DOI: 10.3390/ ijms22073380.
11. Talismanov V. S., Popkov. S. V. Synthesis and fungicidal activities of 1-[(2,2-diaryl-1,3-dioxolan-4-yl) methyl]-1H-azoles. Russian Chemical Bulletin. 2007;56:975–979. DOI: 10.1007/s11172-007-0147-4.
12. Буйко Е. Е., Зыкова М. В., Иванов В. В. и др. Антиоксидантная активность серебросодержащих бионанокомпозиций на основе гуминовых веществ в культуре клеток. Разработка и регистрация лекарственных средств. 2021;10(4):46–53. DOI: 10.33380/2305-2066-2021-10-4-46-53.
Дополнительные файлы
|
|
1. Графический абстракт | |
| Тема | ||
| Тип | Прочее | |
Посмотреть
(81KB)
|
Метаданные ▾ | |
Рецензия
Для цитирования:
Зыкова С.С., Шустов М.В., Талисманов В.С. Сравнительная оценка антиоксидантных свойств и цитотоксической активности 2,2-дизамещенных 1,3-диоксолановых производных имидазола. Разработка и регистрация лекарственных средств. 2023;12(4):134-138. https://doi.org/10.33380/2305-2066-2023-12-4(1)-1655
For citation:
Zykova S.S., Shustov M.V., Talismanov V.S. Evaluation of the Antioxidant Properties and Cytotoxic Activity of 1,3-dioxolane Derivatives Imidazole. Drug development & registration. 2023;12(4):134-138. (In Russ.) https://doi.org/10.33380/2305-2066-2023-12-4(1)-1655
JATS XML



































