Синтез и оценка нестероидной противовоспалительной активности N,6-диарил-4-метил-2-тиоксо-1,2,3,6-тетрагидропиримидин-5-карбоксамидов
https://doi.org/10.33380/2305-2066-2022-11-4(1)-38-42
Аннотация
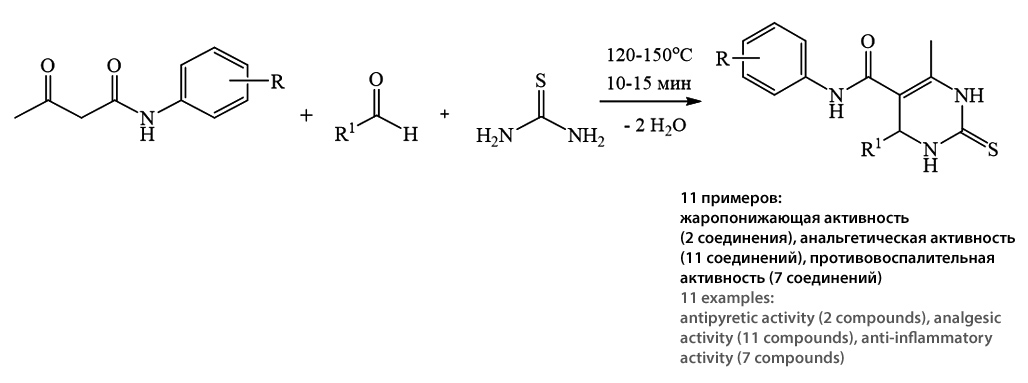
Введение. Среди производных пиримидина обнаружено большое число новых перспективных биологически активных соединений, обладающих различной фармакологической активностью. Сотрудниками Пермской государственной фармацевтической академии предложен простой и доступный способ синтеза функционализированных тетрагидропиримидин-5-карбоксамидов, заключающийся в кратковременном сплавлении исходных компонентов. Продукты данной реакции ранее показали высокую анальгетическую и противовоспалительную активность.
Цель. Получить ранее неизвестные функционализированные пиримидины и изучить их анальгетическую, противовоспалительную и жаропонижающую активность.
Материалы и методы. Объекты исследования – 11 соединений N,6-диарил-4-метил-2-тиоксо-1,2,3,6-тетрагидропиримидин-5-карбоксамиды, строение которых подтверждено спектральными методами анализа. Оценку биологической активности проводили рекомендованными методами по доклиническому изучению новых фармакологических веществ.
Результаты и обсуждение. В данной работе приведены результаты доклинических испытаний полученных соединений.
Заключение. Некоторые соединения продемонстрировали высокую анальгетическую, противовоспалительную и жаропонижающую активность и могут быть рекомендованы для дальнейшего изучения в качестве перспективных нестероидных противовоспалительных средств.
Ключевые слова
Об авторах
Н. А. БузмаковаРоссия
614990, г. Пермь, ул. Полевая, д. 2
И. П. Рудакова
Россия
614990, г. Пермь, ул. Полевая, д. 2
Т. М. Замараева
Россия
614990, г. Пермь, ул. Полевая, д. 2
Н. В. Дозморова
Россия
614990, г. Пермь, ул. Полевая, д. 2
Н. В. Слепова
Россия
614990, г. Пермь, ул. Полевая, д. 2
Список литературы
1. Heravi M., Zadsirjan V. Recent Advances in Applications of Name Reactions in Multicomponent Reactions. Amsterdam: Elsivier; 2020. 438 p.
2. Matos L. H. S., Masson Flá. T., Simeoni L. A., Homem-de-Mello M. Biological activity of dihydropyrimidinone (DHPM) derivatives: A systematic review. European J. of Med. Chem. 2018;143:1779–1789. DOI: 10.1016/j.ejmech.2017.10.073.
3. Kaoukabi H., Kabri Y., Curti C. Taourirte M., Rodriguez-Ubis J. C., Snoeck R., Graciela A., Vanelle P., Lazrek H. B. Dihydropyrimidinone/1,2,3-triazole hybrid molecules: Synthesis and anti-varicella-zoster virus (VZV) evaluation. European J. of Med. Chem. 2018;155:772–781. DOI: 10.1016/j.ejmech.2018.06.028.
4. Barbosa F. A. R., Siminski T., Canto R. F. S., Almeida G. M., Mota N., Ourique F., Pedrosa R. C., Braga A. L. Novel pyrimidinic selenourea induces DNA damage, cell cycle arrest, and apoptosis in human breast carcinoma. European J. of Med. Chem. 2018;155:503–515. DOI: 10.1016/j.ejmech.2018.06.026.
5. Teleb M., Rizk O. H., Zhang F-X., Fronczek F. R., Zamponi G. W., Fahmy H. Design, synthesis and pharmacological evaluation of some substituted dihydropyrimidines with L-/T-type Calcium Channel blocking activities. Bioorg. Chem. 2018;83:354–366. DOI: 10.1016/j.bioorg.2018.10.054.
6. Khaldi-Khellafi N., Makhloufi-Chebli M., Oukacha-Hikem D., Bouaziz S. T., Lamara K. O., Idir T., Benazzouz-Touami A., Dumas F. Green synthesis, Antioxidant and antibacterial activities of 4-aryl-3,4-dihydropyrimidinones/thiones derivatives of curcumin. Theoretical calculations and mechanism study. J. of Mol. Struct. 2019;1181:261–269. DOI 10.1016/j.molstruc.2018.12.104.
7. Noureddin S. A., El-Shishtawy R. M., Al-Footy K. O. Curcumin analogues and their hybrid molecules as multifunctional drugs. European J. of Med. Chem. 2018;182:111631. DOI: 10.1016/j.ejmech.2019.111631.
8. Dangolani S. K., Niknama E., Shahraki O., Khalafi-Nezhad A. Unexpected dihydropyridinium derivatives using a multicomponent reaction containing unprotected amino acids. Journal of Molecular Structure. 2021;1245:131061. DOI: 10.1016/j.molstruc.2021.131061.
9. Гейн В. Л., Замараева Т. М., Бузмакова Н. А., Сыропятов Б. Я., Аликина Н. В. Синтез и анальгетическая активность N,6-диарил-4-метил-2-тиоксо-1,2,3,6-тетрагидропиримидин-5-карбоксамидов. Химико-фармацевтический журнал. 2016;50(4):19–21. DOI: 10.30906/0023-1134-2016-50-4-19-21.
10. Бузмакова Н. А., Рудакова И. П., Замараева Т. М. Синтез и противовоспалительная активность N,6-диарил-4-метил-2-тиоксо-1,2,3,6-тетрагидропиримидин-5-карбоксамидов. Химико-фармацевтический журнал. 2021;55(8):21–24. DOI: 10.30906/0023-1134-2021-55-8-21-24.
11. Миронов А. Н., Бунатян Н. Д. Руководство по проведению доклинических исследований лекарственных средств. М.: Гриф и К; 2012. 944 с.
12. Хабриев Р. У. Руководство по экспериментальному (доклиническому) изучению новых фармакологических веществ. М.: Изд-во Медицина; 2005. 826 с.
Дополнительные файлы
|
|
1. Графический абстракт | |
| Тема | ||
| Тип | Исследовательские инструменты | |
Посмотреть
(66KB)
|
Метаданные ▾ | |
Рецензия
Для цитирования:
Бузмакова Н.А., Рудакова И.П., Замараева Т.М., Дозморова Н.В., Слепова Н.В. Синтез и оценка нестероидной противовоспалительной активности N,6-диарил-4-метил-2-тиоксо-1,2,3,6-тетрагидропиримидин-5-карбоксамидов. Разработка и регистрация лекарственных средств. 2022;11(4):38-42. https://doi.org/10.33380/2305-2066-2022-11-4(1)-38-42
For citation:
Buzmakova N.A., Rudakova I.P., Zamaraeva T.M., Dozmorova N.V., Slepova N.V. The Synthesis and Evaluation of Non-steroidal Antiinflammatory Activity of N,6-diaryl-4-methyl-2-thioxo-1,2,3,6-tetrahydropyrimidine-5-carboxamides. Drug development & registration. 2022;11(4):38-42. (In Russ.) https://doi.org/10.33380/2305-2066-2022-11-4(1)-38-42
JATS XML



































